道路照明評價閾值增量TI的實際測試方法研究
摘要:近年來,我國的路燈建設取得了飛速的發展,道路照明質量不斷提高,城市照明中使用的光源也在不斷更新換代,從*簡單的白熾燈,經過了高壓汞燈、高壓鈉燈、金鹵燈、節能燈、LED等光源的演變,性能和耐用性得到不斷提高。對改善我國的投資環境,促進經濟快速發展,方便群眾生活,美化城市起了很大作用,但是伴隨而來的是照明光污染和照明的設計不合理,照明亮度超標,眩光嚴重等,特別是近年來由于照明光源的不合理引起的眩光導致的交通事故,帶走了很多人的寶貴生命,破壞了很多幸福的家庭。
因此,有必要加強技術改進和評價檢測方案的研究,以減少由于照明光源的不合理而導致的安全事故。在全球都在提倡綠色照明的時代,新型的照明光源會不斷的產生和替代傳統光源,這就更需要嚴格的檢測手段和測試方法來為更好的更合理的道路照明提供保障。
本文就我司(先鋒科技)對道路照明評價指標的閾值增量TI的實際測試方法做出新的研究。旨在更嚴苛準確的得到閾值增量TI參數,為道路照明評價提供有力的武器,保證道路照明的健康安全。
關鍵詞:城市照明,道路照明,失能眩光,閾值增量TI,TI測試方法
1. 照明現狀
隨著城市交通的不斷升級,城市道路的也不斷提高。新的照明光源不斷應用,新的測試方法也不斷的被接受和普及。
自2l世紀以來,我國經濟建設進入了高速發展的時期。城市化的建設突飛猛進,城市道路新建、改造工程大量增加,作為城市道路建設的配套工程一道路照明的規模也越來越大。
這么龐大的照明光源,也有很多行業和規范,一般會測試路面的平均亮度,亮度均勻度,照度,照度均勻度,閾值增量TI等。國家也出臺了相關的法規,例如《城市道路照明設計標準》-CJJ 45-2006,GB/T 5700-2008《照明測量方法》等。國際上EN,CIE的規范也很多,CIE也出了一系列與道路照明有關的出版物,包括115、132、31、34 以及12.2、30.2等。
2.眩光的不同評價參數
人眼在觀察景物時會被視場中的高亮的部分的散射光干擾,這種現象受每個人的生理、心理特征而不同。所有這些現象稱之為眩光(glare)。
人眼是一個高度復雜的結構,視覺分析必須考慮不同的視覺條件對眩光感覺,在不同的光源、不同的環境條件下,都會有差別,因此根據具體的環境,眩光的評價采用不同的參數和測試方法:
1. 街道照明的閾值增量TI
2. 室內眩光參數的UGR
3. 室外眩光參數的GR
3.閾值增量TI threshold increment
閾值增量TI 是用來度量失能眩光的。失能眩光會造成可見度的下降。這是因為來自眩光源的光在視網膜方向上散射,形成一個明亮的光幕,疊加在原本清晰的景象上,從而增加了背景亮度,使對比度降低。
在計算眩光時,觀察者位于距右側路緣1/4 路寬處,并假定車輛頂棚的擋光角度為20°,這意味著計算時處于圖1 擋屏斜面以外的路燈將不予考慮。此外還規定觀察者始終注視著他前方90m 處的路面,這代表著視線與地面成1°角。

其中:

其中:
是路面平均亮度;
Ek是編號為k的眩光源在觀察者眼中、垂直于視線平面上產生的照度;
θk是視線與編號k的眩光源射入眼睛中光線的夾角,其有效范圍在1.5°到60°之間;
在《城市道路照明設計標準》-CJJ 45-2006的規范中,表3.3.1明確規定快速、主干路,次干路,支路等,眩光限制閾值增量TI(%)的*大初始值。
4.閾值增量TI的尷尬地位
從1976年,CIE就給出了閾值增量的概念、定義和公式,期間又經歷了多次演變,規定了用它來衡量道路的失能眩光。但是到今天為止,TI仍然只是標準上的一個符號,根本沒有實測,原因是什么呢?——TI計算的關鍵在于Lv,Lv的關鍵在于E。
Ek是編號為k的眩光源在觀察者眼中、垂直于視線平面上產生的照度。眾所周知,照度計測量照度時,通常都是收集的60°或者270°內的光以計算,怎么能只測某一個方向上的照度呢?
根據亮度與照度的定義可知,
E=L*Ω*cosθ
E是眩光源垂直視線方向的照度,Ω是眩光源對人眼所張的立體角,θ是視線和從眩光源來的光線入射方向之間的夾角。
按照這種算法只要測量到眩光源的亮度,就能計算出它的光幕照度。
5.閾值增量TI的新型測試方法
成像亮度計配合眩光分析軟件,可以直接測量得到閾值增量TI。
成像亮度采用CCD(Charge-Coupled-Device, 電荷耦合元件)作為探測器,以及標定的專用鏡頭來實現模擬人眼的視場感知得到亮度的分布。

6.1測試條件:未通車支路,夜晚9點半,天氣晴
6.2測試設備:Radiant Vision System成像亮度計IC-PM I16、35mm鏡頭、三腳架、車載交流適配器、筆記本電腦

根據公式,計算得出:Lv=0.011673cd/m2
7.結論
道路照明評價閾值增量TI采用成像亮度計的測試方法,既可以快速準確的得到測量參數,又可以對道路照明進行綜合分析評價,整個測試從設備架設到得出結果僅10分鐘。為道路照明評價提供有力的武器。
希望此方法能得到認可和推廣,以保證道路照明的安全性,為人們提供舒適的,安全的道路環境。
因此,有必要加強技術改進和評價檢測方案的研究,以減少由于照明光源的不合理而導致的安全事故。在全球都在提倡綠色照明的時代,新型的照明光源會不斷的產生和替代傳統光源,這就更需要嚴格的檢測手段和測試方法來為更好的更合理的道路照明提供保障。
本文就我司(先鋒科技)對道路照明評價指標的閾值增量TI的實際測試方法做出新的研究。旨在更嚴苛準確的得到閾值增量TI參數,為道路照明評價提供有力的武器,保證道路照明的健康安全。
關鍵詞:城市照明,道路照明,失能眩光,閾值增量TI,TI測試方法
1. 照明現狀
隨著城市交通的不斷升級,城市道路的也不斷提高。新的照明光源不斷應用,新的測試方法也不斷的被接受和普及。
自2l世紀以來,我國經濟建設進入了高速發展的時期。城市化的建設突飛猛進,城市道路新建、改造工程大量增加,作為城市道路建設的配套工程一道路照明的規模也越來越大。
這么龐大的照明光源,也有很多行業和規范,一般會測試路面的平均亮度,亮度均勻度,照度,照度均勻度,閾值增量TI等。國家也出臺了相關的法規,例如《城市道路照明設計標準》-CJJ 45-2006,GB/T 5700-2008《照明測量方法》等。國際上EN,CIE的規范也很多,CIE也出了一系列與道路照明有關的出版物,包括115、132、31、34 以及12.2、30.2等。
2.眩光的不同評價參數
人眼在觀察景物時會被視場中的高亮的部分的散射光干擾,這種現象受每個人的生理、心理特征而不同。所有這些現象稱之為眩光(glare)。
人眼是一個高度復雜的結構,視覺分析必須考慮不同的視覺條件對眩光感覺,在不同的光源、不同的環境條件下,都會有差別,因此根據具體的環境,眩光的評價采用不同的參數和測試方法:
1. 街道照明的閾值增量TI
2. 室內眩光參數的UGR
3. 室外眩光參數的GR
3.閾值增量TI threshold increment
閾值增量TI 是用來度量失能眩光的。失能眩光會造成可見度的下降。這是因為來自眩光源的光在視網膜方向上散射,形成一個明亮的光幕,疊加在原本清晰的景象上,從而增加了背景亮度,使對比度降低。
在計算眩光時,觀察者位于距右側路緣1/4 路寬處,并假定車輛頂棚的擋光角度為20°,這意味著計算時處于圖1 擋屏斜面以外的路燈將不予考慮。此外還規定觀察者始終注視著他前方90m 處的路面,這代表著視線與地面成1°角。

圖1
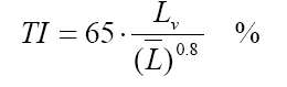
閾值增量的計算公式:
其中:

其中:
是路面平均亮度;
Ek是編號為k的眩光源在觀察者眼中、垂直于視線平面上產生的照度;
θk是視線與編號k的眩光源射入眼睛中光線的夾角,其有效范圍在1.5°到60°之間;
在《城市道路照明設計標準》-CJJ 45-2006的規范中,表3.3.1明確規定快速、主干路,次干路,支路等,眩光限制閾值增量TI(%)的*大初始值。
表1 機動車交通道路照明標準值

從1976年,CIE就給出了閾值增量的概念、定義和公式,期間又經歷了多次演變,規定了用它來衡量道路的失能眩光。但是到今天為止,TI仍然只是標準上的一個符號,根本沒有實測,原因是什么呢?——TI計算的關鍵在于Lv,Lv的關鍵在于E。
Ek是編號為k的眩光源在觀察者眼中、垂直于視線平面上產生的照度。眾所周知,照度計測量照度時,通常都是收集的60°或者270°內的光以計算,怎么能只測某一個方向上的照度呢?
圖2 常見照度探頭
現在,我們有了更好的解決方案:成像亮度計!根據亮度與照度的定義可知,
E=L*Ω*cosθ
E是眩光源垂直視線方向的照度,Ω是眩光源對人眼所張的立體角,θ是視線和從眩光源來的光線入射方向之間的夾角。
按照這種算法只要測量到眩光源的亮度,就能計算出它的光幕照度。
5.閾值增量TI的新型測試方法
成像亮度計配合眩光分析軟件,可以直接測量得到閾值增量TI。
成像亮度采用CCD(Charge-Coupled-Device, 電荷耦合元件)作為探測器,以及標定的專用鏡頭來實現模擬人眼的視場感知得到亮度的分布。

圖3 RADIANT成像亮度計結構和實物圖
6. TI測量實例6.1測試條件:未通車支路,夜晚9點半,天氣晴
6.2測試設備:Radiant Vision System成像亮度計IC-PM I16、35mm鏡頭、三腳架、車載交流適配器、筆記本電腦

圖4 現場測試照片
6.3測試結果:

圖5 測試結果

圖6根據用戶輸入的亮度閾值,篩選出燈具發光部分
軟件自動計算各個眩光源的相關參數:
根據公式,計算得出:Lv=0.011673cd/m2

圖7用多邊形圈出路面,得到路面平均亮度Lav=2.78cd/m2
代入公式,得到TI=27.29%7.結論
道路照明評價閾值增量TI采用成像亮度計的測試方法,既可以快速準確的得到測量參數,又可以對道路照明進行綜合分析評價,整個測試從設備架設到得出結果僅10分鐘。為道路照明評價提供有力的武器。
希望此方法能得到認可和推廣,以保證道路照明的安全性,為人們提供舒適的,安全的道路環境。
































































































13810233784
在線咨詢
