光學斬波器占空比的數字控制
摘要
光學斬波器的斬波片通常以50%的占空比調制光束。這篇文章主要討論的是:可以通過層疊兩個相同的斬波片或使用特殊斬波片來實現<50%的占空比,所用的斬波片既有固定占空比設計也有可變占空比設計。單驅動電機情況下,重新調整斬波片的占空比都需要關停斬波器。而改變占空比最靈活的方法是同步兩個SR542精密光學斬波器。這使得占空比可以連續從0%到50%進行數字調節,并且可以實現遠程、自動化測試。大多數光學斬波器的斬波片制造是為了產生具有 50% 占空比的光學波形:在光學周期內, 斬波片的“通光”、“阻擋”交替進行從而阻擋了50%的光束。然而,某些實驗的待測樣品對輸入光的光功率較為敏感(例如非線性效應、光漂白、熱效應等對樣品產生的破壞)參考文獻【1-4】。在其他情況下,您可能需要為時間分辨或泵浦探測成像對激發脈沖進行門控【5,6】。對于這些實驗,能夠輕松調節斬波片的占空比是很有意義的。

圖1: O54256 5/6雙槽葉片以50%占空比調制光束: Ton = Toff .
有幾種方法可以改變光學斬波的占空比:
- 定制“通光”和“阻擋”槽位具有不同寬度的斬波片。
- 將兩個50%占空比的斬波片層疊安裝在同一個電機上,通過調節葉片相對的位錯實現調節占空比
- 使用可變占空比的斬波片。
- 同步兩個光學斬波器,并調整其中一個葉片相對于另一個葉片的相位。
(注:如果您只需要一個固定的占空比,例如10%,選擇或定制一個通光寬度10%阻擋寬度90%的斬波片就足夠了。如果您希望設計定制斬波片,我們在SR542 操作手冊中提供了設計指南。)
層疊斬波片
實現可調占空比的最簡單方法可能是層疊兩個相同的斬波片,并將它們安裝在同一個斬波器的電機上,兩個葉片之間有一個旋轉偏移量。該偏移減小了有效通光孔徑的寬度,即占空比。如果要更改占空比,必須停止電機,松開安裝螺釘,并旋轉從屬葉片。由于是純手調,精確實現所需的占空比可能比較困難。

圖 2:通過將第二葉片(顯示為透明藍色)層疊在第一葉片上實現25%的占空因子,第二葉片相對旋轉量為15°。原始50%的占空比用紅色虛線表示。
可變占空比斬波片
我們提供的 SR542 可以選配可變占空比的斬波片(型號0542DF )。這種特殊制作斬波片提供的孔徑占空比為 10%至 90%,步長為10%。負載因子通過選擇葉片上的位置來選擇。通過選擇光束的位置來選擇占空比。因此,改變占空比就需要重新對準光束到不同的位置。

圖3: O542DF可變占空比斬波片。根據光束照射在斬波片半徑的位置,可以將占空比設為n*(10%)(其中n=1、2、3...9)。注意光斑必須足夠小以免溢出到下一檔位
同步兩臺斬波器
控制占空比最靈活的方法是先同步兩個SR542光學斬波器到等相位。然后可以精密調整第二斬波器與第一斬波器的相位差,則可實現高精度的占空比控制。這實際上與圖2層疊在單個電機上的兩個斬波片產生的效果是相同,不同的是可以在不停止斬波片旋轉的情況下,快速且精密的調節占空比。設備具體接駁方式見圖4. 下面我們在示波器的輔助下展示完整的斬波器同步流程:
使用示波器進行相位對齊
首先,將兩個斬波頭放在光路中,光束通過所需的斬波片孔徑。具體而言,我們假設在兩個斬波頭上都安裝標準5/6雙槽斬波片(O54256 ),并對準斬波片的外側孔徑。我們設置斬波器1為主斬波器,其參考頻率為內置時鐘(操作設置如下)。
例如:
• Source = Internal Freq
• Multiplier = ×1
• Control = Outer
• Int Freq = 165 Hz
操作設置斬波器2為從斬波器,其時鐘參考頻率取主斬波器1的同步輸出,也就是Source = Ext Sync。在后面板上,將斬波器1的Source Out連接到斬波器2的Ext Sync Input ,如圖4所示。這使得斬波器1成為主時鐘。為了顯示斬波波形,將斬波器1的Outer Slots Reference Output連接到示波器通道1,將斬波器2的Outer Slots Reference Output連接到通道2。 將光電探測器的輸出端連接到示波器的通道4上。打開兩個斬波器電機,通過按下
按鈕,打開兩個斬波器的電機 。
將示波器的觸發設置為通道1,并適當調整時間基準,在顯示屏上可以看到幾個周期的信號。許多示波器都具備占空比測量功能。對于光電二極管采集的信號,使用這個功能可能很有幫助。您可能會看到類似于圖5a中的波形。請注意以下特征:
- 相位差??1−2為兩個斬波器1和2的參考信號之間的相位差。
- 相位差??s為斬波器1和光電探測器信號之間的相位差
- 光電探測器信號的占空比小于50% (Ton/Toff < 0.5)。
相位差??1−2是兩個斬波片的相位差。相移??s 是被測信號的相位差。參考輸出由位于每個斬波器電機底座上的光電探頭產生(如圖4所示的6點鐘位置),而被斬波的信號光束路徑則通過其他地方(例如,11點鐘位置)。
通過監測光電探測器的信號,調整斬波器2的相位
,我們可以恢復斬波器1和2的完全同步,即50%的占空比波形,如圖5b所示。我們把這種配置稱為相位對齊2。一旦兩個斬波器相位對齊 ,我們就可以按下 斬波器2的
按鈕。這將打開
指示燈,并顯示當前相位設置為0°。之后的設置都將以這個Rel點為參考。
現在我們可以通過斬波器2的相位設置實現數字控制占空比,這可以通過前面板旋鈕、鍵盤或USB遠程接口輕松實現。這個功能可以實現電控優化信號強度或者占空比掃描。且無需停止電機來調整層疊的葉片相位差,也不必重新對準光路。(在每次相位調整后,斬波器2需要一點時間來穩定并重新獲得“Chopper Locked”狀態。對于較小的相位調整,所需時間非常短,通常是小于1秒)。
注意,當您通過+?? 或 −??調整斬波器2的相位為0? 時,占空比將將小于最大值50%。占空比D = Ton /Toff 計算如下:
1可以通過調整斬波器1的相位來實現,因為兩個電機都被斬波器1的內部源時鐘控制,并且相位設定點Phase相對于該內部參考。
2然而,“相位對齊”并不一定等同于參考輸出信號的邊緣重合。只有當兩個電機的光電傳感器與光斑之間的角度距離完全相同時,才會是這種情況。下面將對此進行討論。

圖4: .使用示波器對兩個SR542光學斬波器進行同步和相位對準的示意圖。斬波器1做為主時鐘,因此其Source Output與斬波器2的Ext Sync Input相連。兩個斬波器的Outer Slots Reference Output以及來自光電探測器的雙斬波光束信號均連接到示波器上。
其中,φ°是斬波器2的相位設定值(相對于我們上面通過相位對齊程序設置的“0”)。
由于兩個斬波片的占空比設計都為50%,因此使用這種方法不可能實現占空比大于50%的光脈沖。對于占空比為D1和D2的兩個斬波片,該方法的最大可實現占空比小于D1和D2,最小可實現占空比為D1 + D2−1(如果結果為負,則為0)。
值得提及的是,與單斬波實驗架構相比,雙斬波光束并沒有增加額外的相位抖動。對于占空比小于50%,一個斬波器負責控制光束導通(光電探測器輸出的上升沿),而另一個控制光束關斷(下降沿)。因此,雙斬波架構的相位抖動近似于每個斬波器分別產生的相位抖動的平均值。
隨著占空比的減小,如果光束尺寸大于有效孔徑寬度,則有效光束強度也會減小。因此,在解釋作為占空比函數獲得的數據時應該小心,因占空比過?。〞r常是無意中的過度調節)導致有效波束尺寸變化可能產生的影響。
在圖5b的代表性波形中,您可能已經注意到,當雙斬波光束達到50%占空比時,斬波器1和斬波器2的參考輸出之間的邊緣重合。因此,雙斬波光束大致是參考輸出的邏輯與門“AND”。然而,只有當光束在完全相同的位置(例如11點鐘方向)穿過每個斬波器的葉片,并且光中斷的位置在每個電機上相同時,才會出現這種情況3。因此,光電探測器信號本身是實現調整雙斬波占空比唯一直接和可靠的方法。
如果光電探測器輸出的信噪比(SNR)很差,那么您可能無法直接在示波器上檢測到完好的矩形波形,更不用說測量其占空比了。在這種情況下,執行相位對齊過程需要使用增加鎖相放大器進行微弱信號處理。
使用鎖相放大器的相位對齊的流程
為了建立兩個斬波器之間的相位對齊,我們首先需要記錄一個單斬波50%占空比波束的基線鎖定信號。需要從斬波器1的Source Output到斬波器2的Ext Sync Input的連接保持不變(如圖4所示)。
3 對于高槽數葉片,電機底座上的光中斷器的橫向和垂直位移將使參考輸出信號產生更大的相移。
(a) 初始波形

(b) 相位對齊波形
圖 5: 模擬光束通過兩個斬波器的示波器示意圖。(a)在相位對齊之前,斬波器1和斬波器2的信號之間存在相位差?φ1−2 ,光電探測器信號占空比(Ton /Toff )很可能為小于50%。(b)在相位對齊之后,光電探測器輸出波形有50%的占空比。光探測器信號的相位差?φs仍然存在。
將斬波器1的Outer Slots Reference Output連接到鎖相放大器的參考輸入,并將鎖相放大器的Reference to External and Pos TTL連接光電探測器輸出端4,并根據您的信號設置靈敏度、時間常數、輸入范圍、輸入耦合和濾波器滾降斜率。一旦斬波器1的電機已經啟動并指示“斬波器鎖定”,鎖相放大器也應該指示斬波頻率下的參考鎖定。
4或者,您可以使用鎖相放大器作為主時鐘基準,將其參考輸出提供給兩個斬波器的Ext Sync Inputs 。而且,提供斬波器1的Slots Reference Output給鎖相放大器是有作用的,因為鎖相放大器自己的鎖相環可以跟蹤實際的葉片運動。
此時,有必要將斬波器2設置為 Shutter Mode5。這樣您就可以使用其 Phase 設置來調整斬波器葉片的靜態位置。在監測鎖相放大器上的信號幅度R的同時,調整斬波器2的相位,直到信號達到最大值。斬波器2已處于“beam pass.”的狀態。記錄信號的幅度(和相位θ),因為這代表了一束占空比為50%的單次斬波。
打開斬波器2。通常情況下,信號幅度R將減小,相對于參考信號的相位θ也會發生位移。調整斬波器2的相位,直到恢復了原始信號的幅度和相位。此時,斬波器已經是相位對齊的:已經恢復50%占空比的波形。按下斬波器2上的
按鈕以“歸零”當前相位,并啟用相對于此零點的相位調整。現在可以通過斬波器2的相位調節并使用方程(1)來計算占空比。
鎖相放大器信號分析
我們有必要研究鎖相放大器信號對占空比的依賴性。我們可以用以下方式描述雙斬波器光路的時域矩形波形。
x(t) = A for 0 ≤ (t mod T) < DT (2)
= 0 otherwise
其中T為信號周期,DT = Ton為處于“高”或“ON”狀態所需的時間,因此D表示占空比(0≤D < 1)。見圖7。
這個信號可以用以下形式的傅里葉級數來表示:
(3)
為了進行比較,在一個鎖相放大器中,X和Y通道的參考振蕩器被定義為:
(4)
(5)

圖 6:使用鎖相放大器實現微弱信號下兩個SR542光斬波器的同步和相位對齊。

圖 7: 一個峰峰值幅度為A、占空比為D、周期為T的矩形波形。
這樣,方程式(3)的an將對應于Y通道的輸出,而bn將對應于X通道的輸出。
方程式(3)的計算DC term的方法如下:
(6)
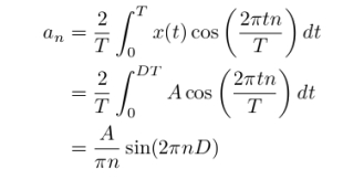
系數an 的計算方法如下:
(7)
系數bn的計算方法如下:
(8)
使用an和bn,我們可以計算一個已給定的諧波、占空比以及峰峰值的信號對應的振幅和相位(鎖相放大器的R和θ輸出)

其中,
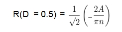
的因子來自于鎖相放大器的RMS計算。對于 0≤D < 0.5的計算結果如圖8所示,其中自變量?2為斬波器2的相位,用于調整占空比。

圖 8:R(將其歸一化為方波峰峰值振幅A,并包括因數1/√2用于計算RMS值)和θ vs. ?2(斬波器2相位)和占空比,鎖相放大器諧波n = 1。
在D=為0.5的情況下,矩形波形峰峰值振幅與鎖相放大器之間的測量簡單地用
(11)
在這種情況下,只有n=1,3,5,7…是非零的(即常見的方波只包含奇次諧波)
作為一個簡單的經驗法則,當測量50%占空比的方波的一次諧波(基次諧波)時,鎖相放大器測量的振幅R≈0.45×峰間振幅a。
結論
通過同步兩個SR542光學斬波器,可以實現斬波光束的占空比的精確數字控制。與其他占空比控制方法相比,這大大簡化了占空比的設置和占空比的掃描。特別是,通過使用SR542的遠程USB接口和一個簡單的數據收集回路,使得涉及可變占空比的自動化設置與檢測成為可能。
在斬波器2的相位可以作為占空比的調整因子之前,兩個斬波器的相位對齊環節需要手動操作。這個過程很簡單。即使斬波光束作用于光電探測器產生的信號太弱,無法在示波器上直接顯示完美波形,通過鎖相放大器處理探測器的輸出,兩個斬波器的同步和相位對齊也是可以完成的。
該技術可以用于SR542的任意一種斬波片,以用于優化您的實驗的光束尺寸和理想的斬波頻率。
參考文獻
[1] Nag, A., De, A. K., and Goswami, D. Two-photon cross-section measurements using an optical chop- per: z-scan and two-photon fluorescence schemes.Journal of Physics B: Atomic, Molecular and Optical Physics 42, 065103 (2009).
[2] Mansourzadeh, S., Vogel, T., Shalaby, M., et al. Milli- watt average power, MHz-repetition rate, broadband THz generation in organic crystal BNA with diamond substrate. Opt. Express 29, 38946–38957 (2021).
[3] Gnoli, A., Razzari, L., and Righini, M. Z-scan measurements using high repetition rate lasers: how to manage thermal effects. Opt. Express 13, 7976– 7981 (2005).
[4] Abidin, M. S. Z., Noor, A. S. M., Rashid, S. A., et al. Frequency and duty cycle modulation optimization in minimizing thermal accumulation effect in Z- scan measurement with high-repetition-rate laser. Japanese Journal of Applied Physics 53, 112702 (2014).
[5] Wang, S., Wendt, A. E., Boffard, J. B., et al. Time- resolved spectroscopy using a chopper wheel as a
fast shutter. Review of Scientific Instruments 86, 013111 (2015).
[6] Yang, W. and Chen, S.-L. Time-gated fluorescence imaging: Advances in technology and biological applications. Journal of Innovative Optical Health Sciences 13, 2030006 (2020).
































































































13810233784
在線咨詢
